发布时间: 2024-06-26 09:53:27
腺样囊性癌(Adenoid cystic carcinoma, ACC)是一种相对罕见的唾液腺肿瘤,约占头颈部恶性肿瘤的1%,占所有恶性唾液腺肿瘤的25-30%。鼻咽部ACC (NACC)是ACC的一个独特亚组,占头颈部ACC病例的不到5%,且预后较差。
2024年6月,中国学者在《BMC CANCER》(二区,IF=3.8)发表标题为:“Long-term outcomes after particle radiation therapy in patients with nasopharyngeal adenoid cystic carcinoma”的研究论文。
我们之前报道了NACC患者接受粒子放射治疗(PBRT)的短期结果,2年OS、LC和DMC率分别为100%、94.4%和84.8%。在本研究中,我们检查了26例单独接受PBRT治疗的NACC患者的长期预后。
摘要与主要结果
背景:鼻咽腺样囊性癌 (NACC) 是一种相对罕见的唾液腺肿瘤,通常与不良预后相关。大剂量放疗是 NACC 患者的关键治疗方法。本研究报告了粒子束放射治疗 (PBRT) 对 NACC 的长期疗效和安全性。
方法及材料:26 例仅接受根治性 PBRT 的非转移性 NACC 患者被纳入本回顾性研究。大多数患者(92.3%)为局部晚期疾病。25例(96.15%)患者接受调强质子放疗(IMPT),然后进行碳离子放疗(CIRT)加强治疗,1例患者仅接受CIRT。通过Kaplan-Meier方法计算总生存期(OS)、局部对照(LC)、区域对照(RC)和远处转移控制(DMC)率。
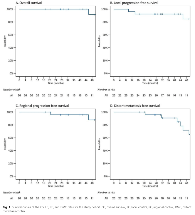
结果:整个队列的中位随访时间为46.95个月。7例患者出现局部复发,1例患者出现颈部淋巴结复发。3年和4年OS、LC、RC和DMC率分别为100%和91.7%、92.3%和84.6%、95.8%和87.8%以及90.2%和71.3%。共有91.3%的患者在PBRT后1年实现了肉眼肿瘤的完全缓解。仅在两名患者中观察到严重的急性毒性。在一名眼眶顶点浸润患者中观察到视力下降 4 级。未观察到晚期 3 级或 5 级毒性。
结论:确定性 PBRT 为局部晚期 NACC 患者提供了令人满意的 4 年操作系统。毒性是可以接受的和温和的。需要进一步随访,以确认根治性 PBRT 对 NACC 患者的疗效和安全性。
1.患者特征和治疗
2016年7月至2021年11月,共有28例连续的非转移性NACC患者在上海质子重离子中心接受了颗粒RT治疗。在这些患者中,有2例患者因再照射而被排除在本分析之外;局部进展期(T3、T4) 24例(92.3%),其中T4患者占全组的80.77%。5例患者(19.23%)存在眼眶或眼眶顶点浸润,42.31% (n = 11)的患者在颗粒放射治疗前行经鼻路径手术,均有残留病变。中位肿瘤体积为47.75 ml (9.1 ~ 145.31 ml)。表1总结了患者的基线和治疗特点。
2.治疗反应和生存率
整个队列的中位随访时间为46.95个月(范围为17.4-77.6),所有患者在3年时存活(95%CI 100-100%),4年OS为91.7%(95%CI 77.3-100%)(图1)。1A). 7例患者出现局部复发,其中2例为远处转移。GTV 内发生了 4 起局部复发事件,2 起发生在 CTV1 边缘。1 例患者在粒子放疗前患有 N1 疾病,颈部淋巴结复发。然而,I-II期疾病患者均未出现局部或区域性衰竭。共有10例患者发生远处转移,最常见的部位是肺(7例),其次是肝脏(1例)和骨(1例)。1例患者同时发生肺转移和肝转移。在粒子放疗后 1 年接受 MRI 的 23 例患者中,21 例 (91.3%) 的原发肿瘤完全缓解。治疗反应的详细信息见表2。3年和4年LC、RC和DMC率分别为92.3%(95%CI 82.6-100%)、84.6%(95%CI 69.0-100%)、95.8%(95%CI 88.2-100%)、87.8%(95%CI 72.7-100%)、90.2%(95%CI 78.2-100.0%)和71.3%(95%CI 52.6-96.6%)(图1)。1B-D)。
3.急性和晚期毒性
表3和表4详细描述了PBRT引起的急性和晚期毒性。放疗期间仅2例患者出现3级黏膜炎,但大多数患者(88.5%)出现1-2级毒性,包括皮炎(24例,92.3%)、口干症(21例,80.8%)、听力下降(2例,7.7%)和耳鸣(2例,7.7%)。1-2级迟发毒性包括口干症(16例,61.6%)、听力下降(9例,34.6%)、耳鸣(7例,26.9%)和颞叶坏死(2例,7.7%)。5例患者(19.2%)出现颅神经病变,均为1级。其中2例患者分别在治疗完成后2.8年和3年出现同侧面麻木和舌偏。其余3例患者在治疗前有颅神经麻痹(2例为轻度同侧面部感觉异常,1例为轻度同侧上睑下垂)。治疗完成约1.5年后,颅神经麻痹症状恶化,但仍为1级。在眼眶或眼眶顶点浸润的 5 例患者中,有 2 例的视力下降。最终,其中一名患者在放疗完成后 1.5 年和 2.5 年出现 2 级下降,另一名患者出现 4 级下降。未观察到晚期 3 级或 5 级毒性。
设计与统计学方法
P(Population)参与者:2016年7月至2021年11月连续26例非转移性NACC患者的数据。
O(outcome)结局:总生存期(OS)、局部对照(LC)、区域对照(RC)和远处转移控制(DMC)率。
S(Study design)研究类型:回顾性研究
OS 的持续时间定义为从诊断原发疾病到死亡或最后一次随访的时间。从最初诊断到相应的失败,测量到局部复发、局部失败和远处转移的时间。生存率采用Kaplan-Meier法计算。治疗后肿瘤反应按照实体T肿瘤反应评价标准(RECIST) 1.1版进行测量。急性毒性被定义为在PBRT开始后90天内发生的不良事件。晚期毒性被定义为3个月后发生的毒性或治疗结束后持续3个月以上的不良事件。所有分析均使用统计程序SPSS(26.0版)进行。
小结
这项关于鼻咽腺样囊性癌(NACC)患者的研究,从统计角度展示了粒子放射治疗(PBRT)的有效性和安全性。研究使用Kaplan-Meier方法计算生存率,3年和4年的总生存率分别为100%和91.7%。数据分析表明,局部和远处控制率也显著,毒性反应大多为1-2级。通过严格的统计分析,这项研究为PBRT在NACC治疗中的应用提供了强有力的数据支持。
参考文献
Hu W, Hu J, Huang Q, Gao J, Zhang H, Kong L. Long-term outcomes after particle radiation therapy in patients with nasopharyngeal adenoid cystic carcinoma. BMC Cancer. 2024 Jun 18;24(1):742.





上一篇:《JAMA-医学期刊上观察性研究干预效果的因果推断》文献翻译PART2