发布时间: 2025-11-18 02:58:53
01
导读
久坐行为(能量消耗≤1.5代谢当量的坐姿或躺姿行为)与2型糖尿病等代谢疾病风险相关,多国公共卫生指南已强调需打破长时间久坐,但既往关于身体活动(PA)间歇对代谢指标影响的研究存在局限性,如部分综述纳入研究数量少、未开展荟萃分析,且缺乏PA间歇与持续运动效果的对比研究。因此,有必要开展更新的系统综述与荟萃分析,为公共卫生指南制定提供证据支持。
2020年2月,英国金斯顿大学RolandLoh和HannahJ.Moir团队在《Sports Medicine》(中科院1区,2023年影响因子11.7)发表了一项系统综述与荟萃分析研究,结果显示久坐时加入PA间歇可中度降低餐后血糖、胰岛素水平,轻微降低甘油三酯,且BMI较高人群血糖改善更显著;在能量消耗匹配情况下,PA间歇在降低血糖方面略优于持续运动,但对胰岛素和甘油三酯无显著差异。
02
研究方法
本研究为系统综述与荟萃分析,遵循PRISMA指南,在PROSPERO注册(CRD42017080982)。研究于2017年3月4日首次检索PubMed、OvidSP等数据库,2018年7月3日更新检索,纳入18岁及以上、代谢健康或受损(如2型糖尿病、糖耐量异常)但无慢性阻塞性肺疾病等其他重大疾病的受试者,比较“PA间歇打破久坐(INT)”与“持续久坐(SIT)”、“PA间歇打破久坐(INT)”与“持续运动(EX)”的试验。结局指标包括血糖、胰岛素、甘油三酯(TAG),优先提取连续血糖监测数据及增量面积下曲线(iAUC)。
统计分析采用DerSimonian和Laird随机效应模型计算标准化均数差(SMD),以消除不同测量尺度影响;通过卡方检验和I²统计量评估异质性;针对甘油三酯按试验设计(1天/多日)、受试者健康状态等进行亚组分析;若纳入研究≥10项,采用元回归分析BMI对结局的影响,并通过漏斗图、Begg检验等评估发表偏倚,选择这些方法可更全面、准确地综合多项研究结果,控制偏倚并探索效应差异来源。
03
研究结果
3.1 PA间歇与持续久坐对代谢指标的影响
对37项研究的荟萃分析显示,INT组较SIT组,血糖SMD为-0.54(95%CI:-0.70~-0.37,p<0.00001),胰岛素SMD为-0.56(95%CI:-0.75~-0.37,p<0.00001),TAGSMD为-0.26(95%CI:-0.44~-0.09,p=0.004)。
这表明久坐时加入PA间歇,可中度降低餐后血糖和胰岛素水平,轻微降低甘油三酯,且所有差异均具有统计学意义。
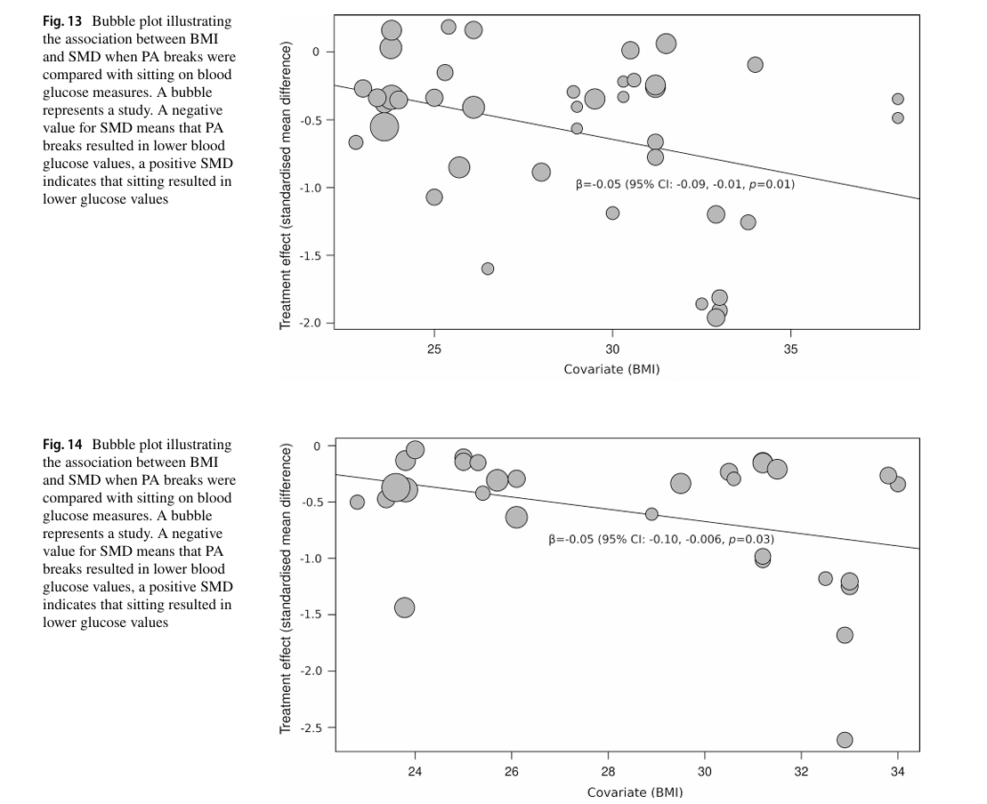
3.2 BMI对PA间歇代谢效应的影响
元回归分析显示,BMI与INT组相对SIT组的血糖反应(β=-0.05,95%CI:-0.09~-0.01,p=0.01)和胰岛素反应(β=-0.05,95%CI:-0.10~-0.006,p=0.03)相关,与TAG反应无关联(β=0.02,95%CI:-0.02~0.06,p=0.37)。
该结果提示BMI较高的人群,通过PA间歇打破久坐后,血糖和胰岛素的改善效果更显著,而甘油三酯的改善不受BMI影响。
3.3 能量消耗匹配时PA间歇与持续运动的对比
当能量消耗匹配时,INT组较EX组血糖SMD为-0.26(95%CI:-0.49~-0.03,p=0.03),胰岛素SMD为0.37(95%CI:-0.35~1.09,p=0.31),TAGSMD为0.06(95%CI:-0.23~0.36,p=0.67)
这说明在能量消耗相同的条件下,PA间歇在降低血糖方面略优于持续运动,且差异有统计学意义,但两者在胰岛素和甘油三酯调节上无显著统计学差异。
3.4 发表偏倚情况
漏斗图及相关检验显示,INT与SIT组对比时,TAG结局存在可能的发表偏倚,血糖和胰岛素结局无明显发表偏倚。
这提示在解释PA间歇对甘油三酯影响的结果时需谨慎,可能存在部分阴性结果未发表的情况,而血糖和胰岛素相关结果的可靠性相对更高。
04
舟舟点评
4.1 研究前证据
此前已有研究指出增加身体活动、减少并打破久坐行为对健康有益,部分系统综述发现步行等轻中度PA间歇可降低餐后血糖和胰岛素,且PA间歇在血糖调节上可能优于单次持续运动,但这些研究存在局限性,如纳入研究数量少(仅5项)、未开展荟萃分析,或未定量评估PA间歇对代谢指标的影响及调节因素,同时美国相关指南咨询委员会也指出需更多随机对照试验验证用PA替代久坐时间的效果,为本研究奠定了开展基础。
4.2 研究附加值
本研究纳入42项研究(37项纳入荟萃分析),样本量更大、覆盖人群更广(包括代谢健康和受损人群),首次较全面地量化了PA间歇对血糖、胰岛素和甘油三酯的影响,明确了BMI对PA间歇代谢效应的调节作用,填补了既往研究在效应量量化及调节因素探索上的空白;同时,在能量消耗匹配的条件下,对比PA间歇与持续运动的效果,为不同运动模式的代谢获益提供了更精准的证据,更新了该领域的荟萃分析证据体系。
4.3 对现有证据的影响
在实践与政策层面,本研究结果支持将“通过PA间歇打破久坐”纳入公共卫生指南,尤其建议BMI较高、代谢受损人群采用该方式改善代谢指标,为久坐人群(如办公室工作者)提供了易执行的健康干预策略;在未来研究层面,本研究提示需进一步探索PA间歇的最佳频率、强度、时长,以及不同性别、睡眠状态等对PA间歇效应的影响,同时需开展长期随访研究验证其对代谢疾病预防的长期效果,以完善现有证据链。










上一篇:熬夜备孕竟不影响流产风险?但这两个睡眠指标显著预测不良妊娠结局!