发布时间: 2026-01-12 05:20:26
2025年12月,外国学者在《Clinical Pharmacology & Therapeutics》(二区,IF=5.5)发表标题为:“Real‐World Effectiveness and Safety of Recombinant Human Follicle‐Stimulating Hormone (rhFSH) in Infertile Women undergoing Assisted Reproductive Technology (ART): A Korean Nationwide Cohort Study”的研究论文。
摘要与主要结果
一、摘要
尽管重组人卵泡刺激素(rhFSH)在接受辅助生殖(ART)的不孕女性中广泛使用,但关于不同rhFSH类型有效性和安全性的真实世界比较数据仍然有限。利用HIRA医保数据库,我们纳入了10,684名20-39岁的不孕女性(2016-2021年),她们在首次体外受精-胚胎移植(IVF-ET)周期中仅使用了rhFSH。结局指标包括整个队列的有效性(获取≥11个卵母细胞、妊娠率、活产率)和安全性(异位妊娠、流产、早产、卵巢过度刺激综合征[OHSS]),并进一步分为卵泡刺激素组和其他rhFSH组。描述基线特征,并使用广义线性模型估计相对风险(RR)及其95%置信区间(CI),调整了年龄和不平衡变量。在10,684名接受rhFSH处方的患者中,7.1%年龄在20-29岁,41.6%在30-34岁,51.3%在35-39岁。57.7%的周期使用了卵胞浆内单精子注射(ICSI),76.8%使用了促性腺激素释放激素(GnRH)拮抗剂方案。活产率为38.8%,OHSS发生率为5.9%。比较卵泡刺激素组(n=2,594)与其他rhFSH组(n=8,090)的基线特征发现,卵泡刺激素组的ICSI使用率(62.2% vs. 56.3%)和GnRH拮抗剂方案使用率(81.3% vs. 75.3%)更高。接受卵泡刺激素治疗的女性更有可能获得≥11个卵母细胞(校正RR,1.09;95% CI:1.02–1.16),且发生OHSS的可能性更低(校正RR,0.73;95% CI:0.60–0.90)。这些发现提供了支持rhFSH在新鲜IVF周期中有效性和安全性的真实世界证据,卵泡刺激素在卵母细胞获取和降低OHSS发生率方面可能具有优势。
二、研究结果
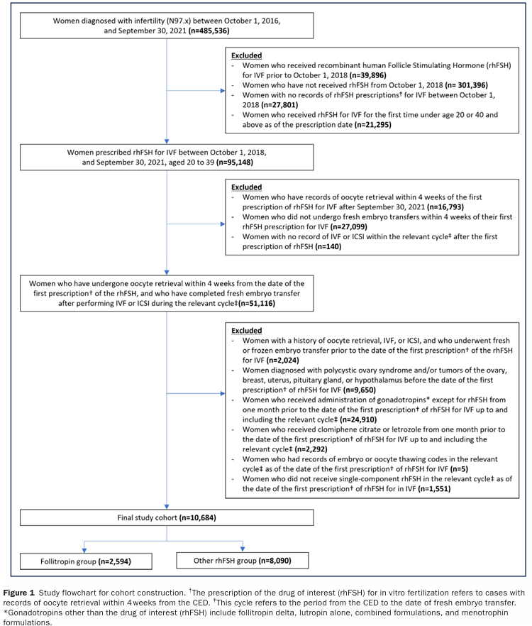
筛选结果
本研究共纳入10,684名患者,其中卵泡刺激素组2,594名(24.3%),其他rhFSH组8,090名(75.7%)(图1)。
在总计10,684名患者中,大多数患者年龄在30-39岁(30-34岁:41.6%,35-39岁:51.3%)。接受ICSI(57.7%)的患者多于常规IVF(42.3%)。76.8%的患者在控制性卵巢刺激(COS)中使用GnRH拮抗剂方案,是GnRH激动剂方案(21.7%)使用率的三倍多。在合并症方面,超过10%的患者患有甲状腺疾病(15.5%)、自身免疫性疾病(12.5%)、生殖道息肉(13.0%)和子宫肌瘤(10.7%)(表1)。
卵泡刺激素组 vs. 其他rhFSH组
卵泡刺激素组接受ICSI的患者比例显著更高(62.2% vs. 56.3%)。卵泡刺激素组使用GnRH拮抗剂方案的比例也显著高于其他rhFSH组(81.3% vs. 75.3%)。除卵泡刺激素组的生殖道息肉发生率较低(11.8% vs. 13.3%)、盆腔炎性疾病发生率较高(9.2% vs. 5.8%)外,两组间其他合并症患病率无差异。在总体健康状况指标方面,除卵泡刺激素组在CED前1年内的住院率较高外(13.0% vs. 11.5%),其余指标无差异(表1)。
卵泡刺激素组获得≥11个卵母细胞的患者比例显著高于其他rhFSH组(47.3% vs. 43.1%;模型1校正RR = 1.09,95% CI:1.02–1.16)。然而,卵泡刺激素组的OHSS比例显著较低(模型1校正RR = 0.73,95% CI:0.60–0.90)。两组在临床妊娠率、持续妊娠率和活产率等妊娠结局方面无显著差异。此外,点估计值提示卵泡刺激素组的早产和需要穿刺术的严重OHSS发生率略低于其他rhFSH组,而异位妊娠的点估计值略高,但这些差异均无统计学意义(表3)。
临床结局
在10,684名患者中,44.1%的女性在rhFSH处方后获得了≥11个卵母细胞(表2)。共有5,049名患者(47.3%)实现了临床妊娠,4,231名患者(39.6%)确认了持续妊娠。此外,4,140名患者(38.8%)分娩并获得活产,其中单胎3,222例(30.2%),多胎918例(8.6%)。在所有参与者中,1,549例(14.5%)出现妊娠相关不良结局,包括73例(0.7%)异位妊娠、1,042例(9.8%)流产和434例(4.1%)早产。共有630名患者(5.9%)被诊断为OHSS,其中164名患者(1.5%)接受了穿刺术,136名患者(1.3%)因OHSS诊断住院。
亚组和敏感性分析
按年龄分层的临床结局亚组分析显示,20-29岁患者获得≥11个卵母细胞、临床妊娠、持续妊娠、活产、早产、OHSS及需要穿刺术的OHSS比例最高,其次是30-34岁和35-39岁患者(表4)。流产率在35-39岁年龄组最高(11.1%),其次是20-29岁年龄组(8.7%)。与GnRH激动剂方案相比,GnRH拮抗剂方案获得≥11个卵母细胞、临床妊娠、持续妊娠和活产的患者比例更高,而OHSS发生率更低。值得注意的是,接受GnRH拮抗剂方案联合rhFSH治疗的患者中,需要穿刺术的OHSS比例显著更低(表4)。与获得<11个卵母细胞的患者相比,获得≥11个卵母细胞的患者临床妊娠率、持续妊娠率和活产率显著更高,但OHSS和需要穿刺术的OHSS发生率也更高(表4)。
设计与统计学方法
一、 研究设计
P:韩国20-39岁首次接受新鲜IVF-ET、仅用单一rhFSH刺激卵巢的不孕女性。
I:使用卵泡刺激素进行控制性卵巢刺激。
C:使用其他rhFSH制剂进行控制性卵巢刺激。
O:获卵数(≥11个)、临床妊娠率、持续妊娠率、活产率;异位妊娠、流产、早产、卵巢过度刺激综合征发生率。
S:回顾性队列研究。
二、统计方法
研究对象的基线特征在CED时进行评估。分类变量以频数和百分比表示,连续变量以均值(标准差[SD])表示。使用广义线性模型(GLM)计算RR和95% CI,比较卵泡刺激素组与其他rhFSH组。
参考文献
Lee JY, Choi EY, Lee JR, Choi YS, Kim JH, Choo CW, Choe Y, Seo HJ, Lee H, Shin Y, Jeon Y, Shin JY, Kim H. Real-World Effectiveness and Safety of Recombinant Human Follicle-Stimulating Hormone (rhFSH) in Infertile Women undergoing Assisted Reproductive Technology (ART): A Korean Nationwide Cohort Study. Clin Pharmacol Ther. 2025 Dec 2.






上一篇:组织蛋白酶E与全面性癫痫的因果线索:来自孟德尔随机化的证据